Simon Geirnaert
Simon Geirnaert
Home
Publications
CV
Presentations
SciComm
Awards
Speech decoding resources
Music
Contact
corrCA
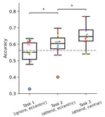
Eccentricity Confound in EEG-based Visual Attention Decoding from Gaze-fixated Neural Tracking of Motion in Natural Videos
In this article, based on a new experiment, we analye how visual eccentricity affects neural responses to naturalistic videos when eye movements are controlled for.
Yuanyuan Yao
,
Celina Salamanca González
,
Simon Geirnaert
,
Céline R. Gillebert
,
Tinne Tuytelaars
,
Alexander Bertrand
April, 2026
preprint
PDF
Cite
DOI
Cite
×